In the design of navigation and control systems, AHRS (Attitude and Heading Reference System) and INS (Inertial Navigation System) are two key technical modules. Although they are both based on inertial measurement units (IMUs), their processing methods, output results, and application scopes are essentially different.
This article will compare AHRS and INS in depth from the dimensions of system composition, sensor fusion algorithm, mathematical model, error source analysis, and typical applications, to provide theoretical and application support for engineering practice and research.
AHRS systems are usually composed of three types of sensors:Three-axis gyroscopes (Angular Rate Sensors);Three-axis accelerometers (Linear Acceleration Sensors);Three-axis magnetometers (Earth Magnetic Field Sensors)
These data are fused through a filtering algorithm to estimate the current three-dimensional posture (expressed in Euler angles or quaternions).
INS systems are usually composed of IMU (gyroscope + accelerometer), and realize navigation functions through integral calculation:
Integrate acceleration to get velocity, and then integrate to get position;
Integrate angular velocity to calculate attitude changes.
INS can be integrated into an "autonomous navigation system" to achieve continuous positioning for a certain period of time even in an environment where GPS is not available.
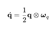
Assume that the three-axis angular velocity is
Using quaternion
Represents the posture, then the posture update formula is as follows:

Combined with the magnetometer and accelerometer, attitude error correction is achieved through complementary filtering or extended Kalman filtering (EKF).
Schematic diagram of attitude error correction formula (complementary filtering):

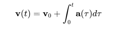
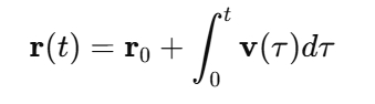
The core of INS is to integrate acceleration twice:
Speed calculation:

Position calculation:

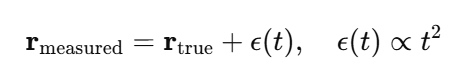
Since the IMU data contains noise and bias, the integration process will lead to the accumulation of errors (drift):

To this end, INS is often fused with GPS, vision, or UWB to constrain error drift.
| Error Source | AHRS | INS |
|---|---|---|
| Gyroscope Bias | Causes slow attitude drift, correctable via magnetometer | Accumulates into significant drift in attitude, velocity, and position |
| Accelerometer Error | Affects gravity direction estimation | Severely impacts position estimation; long-term errors grow quadratically |
| Magnetometer Interference | Impacts yaw (heading) estimation | Generally unaffected (no magnetometer used) |
| Numerical Integration Error | First-order integration with manageable errors | Second-order integration leads to significant errors |
| Algorithm Robustness | High (mature attitude decoupling algorithms) |
Moderate; requires robust filtering and error modeling support |
| Algorithm Type | Typical Usage in AHRS | Typical Usage in INS |
|---|---|---|
| Complementary Filtering | Fast attitude fusion for low-computational-power devices | Rarely used (insufficient precision) |
| Kalman Filter (EKF) | Fuses gyro, accelerometer, and magnetometer to correct errors | Fuses gyro, accelerometer, and external references (e.g., GPS) |
| Zero-Velocity Update (ZUPT) | Not used | Commonly applied in pedestrian navigation to reduce drift |
| SLAM/Visual-Inertial Navigation | Not applicable | Combined with visual sensors to enhance navigation accuracy |
| Application | AHRS | INS |
|---|---|---|
| Small UAVs | ✅ For attitude control & heading estimation | ✅ Used for path planning or in GPS-denied environments |
| VR/AR Headsets | ✅ Provides head orientation tracking | ❌ Not required (position accuracy unnecessary) |
| Autonomous Vehicles | ❌ Attitude alone insufficient for navigation | ✅ Critical for high-precision map matching and dead reckoning in GPS-denied zones |
| Rocket Guidance | ❌ Insufficient precision for standalone use | ✅ High-precision INS required in high-dynamic environments |
| Underground/Underwater | ❌ Magnetometer failure in such environments | ✅ Combines with sonar/UWB for precise navigation |
A5000 – High-precision MEMS AHRS attitude sensor
A5000 is a highly integrated digital output high-precision AHRS (attitude and heading reference system). Its core features include:
Built-in three-axis high-precision accelerometer, gyroscope and magnetometer
Use 6-state Kalman filter for sensor fusion to enhance the robustness of attitude estimation
Output includes heading angle (Yaw), pitch angle (Pitch), roll angle (Roll) and angular velocity, acceleration information
Suitable for attitude perception scenarios such as drones, robots, mining vehicles, AGVs, agricultural automation equipment, etc.
Miniature design, suitable for space-constrained applications
I3700 – Full-featured Inertial Navigation System (INS)
In contrast, the I3700 is an inertial navigation system for high-dynamic autonomous navigation applications, integrating a high-performance IMU module and supporting fusion with external signals (such as GPS). Its key features include:
Output attitude angle + velocity + 3D position, supporting long-term navigation
Suitable for scenarios that require full autonomous navigation capabilities, such as underground mines, GPS-free environments, precision agriculture or marine unmanned systems
Supports multiple data interfaces, compatible with SLAM, GPS, and UWB fusion systems
With a powerful digital signal processing unit, it has excellent stability and long-term drift control capabilities
Xml Privacy Policy Blog Sitemap
copyright @ Micro-Magic Inc All Rights Reserved.
Network Supported