电子罗盘(也称数字罗盘)通过测量地球磁场来完成航向计算,通常在GPS信号或网络无法有效补充时使用。它具有体积小、能耗低、精度高、小型化等优点,被广泛应用于无人机、船舶、汽车等领域的磁航向测量。然而,电子罗盘在使用过程中也存在一些固有的缺陷:易受外部磁场干扰和误差的影响,这是影响其测量精度、限制其应用的主要原因,因此,研究电子罗盘测量误差补偿方法十分必要。
目前,测量误差补偿方法有很多。例如,补偿系数法主要针对测量过程中的动态干扰,对静态干扰的补偿效果较差,应用范围也较小。另一种方法是自适应补偿法,该方法要求系统在直线运动或低速运动时能够达到较高的补偿精度,但如果系统旋转速度加快,测量精度将受到较大影响,因此,对于要求较高的应用场景,该方法的应用并不广泛。目前,如果仅采用单一的误差补偿模型来补偿罗盘误差,则无法满足测量系统的要求。本文提出了一种基于椭圆假设的误差补偿算法,该算法融合了最小二乘原理。该算法能够有效补偿电子罗盘的测量误差,具有计算量适中、应用范围广的特点。
当数字罗盘安装在载具上用于磁航向测量时,其测量误差由多种因素引起,大致可分为两类:一类是系统自身结构、材料、装配等原因造成的误差,包括罗盘本身误差、安装误差、制造误差等;另一类是姿态信号误差,虽然它不属于航向测量系统本身,但参与了航向参数的计算,也会导致测量误差。由于罗盘误差最难控制,且对航向精度影响最大,本文主要分析罗盘误差。罗盘误差主要由载具硬铁磁场的水平分量和软铁磁场的水平分量组成。大量实验研究表明,由移动载具上的硬铁磁场引起的误差为周期性误差,可用公式(1)表示,其规律近似为正弦曲线;由软铁磁场引起的误差可用公式(2)表示,其规律随环境磁场的变化而变化。

在哪里 ϕi 为航向角测量值,A、B、C、D 和 E 为误差系数。通过上述罗盘误差分析可知,电子罗盘的总罗数应为上述误差的代数和。因此,结合公式 (1) 和 (2) 求得总差值。 ∆ϕ

最小二乘法(LS)可以通过最小化误差平方和来找到数据的最佳函数拟合。它易于获取未知数据,并能最小化未知数据与实际数据之间的误差平方和。最小二乘法也可用于曲线拟合,并常用于数据优化。
最小二乘法能够以最小方差为目标优化数据拟合。它是一种数学优化方法,可以补偿外部环境磁场干扰引起的误差。通常情况下,测量误差呈现一定的周期性,此时更合适的拟合方法是基于傅里叶函数数学模型的三角函数法,并根据标准罗盘提供的航向参数进行校正。下面简要介绍最小二乘法的基本原理。
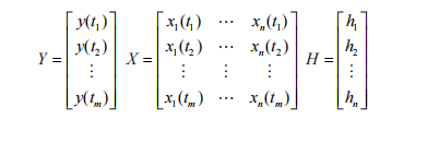
当需要根据观测结果确定两个变量 y 和 x 之间的对应关系时,假设它们是线性的,则 t 时刻的 y 可以表示为:

其中 H1, H2, ..., Hn 为 n 个待确定的未知参数,x1(t), x2(t), ..., xt(t) 为已知的确定性函数,例如 t 的正弦函数和余弦函数。假设在时间 t1, t2, ..., tn 进行 m 次 y 和 x 的测量,希望通过估计变量 y 和 x1(t), x2(t), ..., xt(t) 的值来实现。那么公式 (4) 可以表示为矩阵形式:Y = X * H

利用最小二乘法,根据已知的方位角测量值,得到公式(3)所示的误差系数A、B、C、D和E的最小二乘估计值。 ϕi 和方位角误差 ∆ϕ具体计算步骤如下: ① 采用八点误差测量法。考虑到样本数量、数据计算量和测量精度,在航向角360度范围内,选取角度间隔相同的8个点,例如0、45、90、135、180、225、270和315度,进行航向误差测试,得到8组数据。 ② 误差系数A、B、C、D和E是根据最小二乘法原理得到的。通过前面的分析可知,当用最小二乘法计算出误差系数A、B、C、D和E后,即可通过计算公式计算出纠错后载体的实际航向,因此这里不再赘述具体的研究和分析。
杭州麦新敏微科技有限责任公司专注于导航产品,除了最小误差补偿方法外,还有椭圆误差补偿方法等其他补偿方法。在电子罗盘的研发过程中,技术日趋成熟,理论基础也日臻完善。除了不断优化寻北精度外,还具备倾斜补偿等功能。如果您对我们的产品感兴趣,欢迎进一步了解我们的低成本二维数字罗盘C9-C和40。° 倾斜补偿 - 3D 数字罗盘 C90-B 等,您可以随时联系我们的专业技术人员。
