产品:惯性寻北器
主要特点:
惯性寻北器的工作原理是利用陀螺仪测量地球自转的角速度,然后计算正北方向与测量方向之间的夹角。假设北半球某载体所在位置的纬度S为φ,该点地球自转角速度矢量Ω具有水平向北分量Ωx0和垂直向上分量Ωz0,则有

假设载波完全水平,且其与正北方向的夹角为H,则在寻北陀螺仪敏感轴上的分量,即陀螺仪测量值,为:

由于已知方位角和角速度,因此可以这样计算方位角,即在绝对水平的载体且无安装误差的理想条件下,寻北器的输出值。实际上,载体姿态角误差和陀螺仪安装误差都会影响陀螺仪的测量值,导致寻北器的测量精度降低。
定义地理空间坐标系 O-XYZ:载体的质心为 O,X 轴沿当地子午线向北,Y 轴沿当地纬度向西,Z 轴垂直于当地水平面向上;平面 XOY、YOZ 和 XOZ 互相垂直,将空间划分为八个六边形。
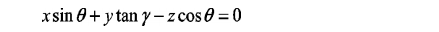
为便于分析,假设寻北陀螺仪的中心与载体的质心重合。在不考虑安装误差的情况下,寻北陀螺仪的测量轴与载体的首尾线重合。单位矢量OM位于陀螺仪的敏感轴上,沿载体的首尾线向前延伸;另一个单位矢量ON垂直于OM向左延伸。载体姿态误差角定义如下:俯仰误差角为OM与OXb(OM在水平面上的投影)之间的夹角,载体前部为正;横滚误差角为ON与OYb(载体轮廓线与水平面在ON上的交线)之间的夹角,载体左侧为正。 OX 和 OXb 之间的夹角即为方位角 H。由此可得以下垂直关系:OYb⊥OXb⊥OZ,OYb⊥OZ,OXb⊥oz,即平面 XbOYb、XbOZ 和 YbOZ 互相垂直。这三个平面可以构成载体空间坐标系 O-XbYbZ,如图 1 所示,该坐标系可理解为由地理空间坐标系 O-XYZ 顺时针旋转方位角 H 而成。

载体所在位置的地球自转角速度的水平分量和垂直分量分别为矢量OA和OB,则点A和点B的坐标在O-XbYbZ坐标系中。M点和N点的坐标由空间解析几何得到。由于M、O、N三点均位于载体平面上,根据平面的点法表达式,可以得到平面MON方程:

测得的寻北陀螺仪值为OA和OB在敏感轴OM上的投影值之和,如公式所示:

当θ=0°时,该公式可转换为测量值的理想表达式。陀螺仪测量误差:

可以看出,此时陀螺仪测量值的误差与俯仰误差角、方位角 H 和纬度有关,而横滚误差角是由载机平面绕头部和尾部轴线(即敏感轴 OM)旋转产生的,因此该误差角对 OM 上的测量值 MOM 没有影响。
在寻北过程中会存在许多误差源,针对误差补偿,Micro-Magic Inc. 一直致力于研发更成熟、更具成本效益的惯性器件。其新型 MEMS 寻北器 NF1000 专为矿山钻探而设计,新增了姿态补偿功能;此外,还有高性价比的寻北器 NF2000 和全球最小的 MEMS 三轴寻北器 NF3000,敬请期待您的了解。