The resonant frequency of the accelerometer chip is a very important performance indicator, which is related to the operating frequency range of the sensor.
The accelerometer sensor itself is also a mechanical structure, so it also has a natural frequency. As shown in the amplitude-frequency curve in Figure 1, when the external vibration frequency is close to the resonant frequency, the sensor will resonate, and the sensitivity of the accelerometer will increase rapidly. The corresponding frequency at this time is the resonant frequency.

The smaller the sensor size, the higher the resonant frequency. The upper limit frequency of the accelerometer depends on the resonant frequency in the amplitude-frequency curve. Generally, the operating frequency range of the accelerometer sensor is less than 1/3 of its own resonant frequency. When the measured vibration frequency is much lower than the resonant frequency, the signal output of the accelerometer is proportional to the measured acceleration.
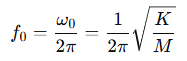
As mentioned above, if the resonant frequency of the sensor chip is increased, the operating frequency range can be widened, the flat frequency band of the sensor will become wider, the working range will become larger, the accelerometer can be used in more scenarios, and the applicability will be better. But in fact, the increase in resonant frequency is also restricted. According to the following formula, the smaller the mass block, the larger the resonant frequency.

Where f0 is the resonant frequency, K is the equivalent stiffness of the accelerometer, and M is the equivalent mass of the sensor.
Therefore, the resonant frequency is a hard constraint that determines the available frequency response range of the accelerometer. Reasonable design and application require the operating frequency to be limited to less than 1/3 of the resonant frequency, and in high-precision applications, it needs to be limited to less than 1/5 to ensure linearity and reliability. The frequency response of the ADXL356 shown in Figure 2 has a resonant frequency of approximately 5.5KHz and a 3dB bandwidth of 2.5KHz. In high-precision applications, the cutoff of the low-pass filter is generally set to less than 1KHz.

Xml Privacy Policy Blog Sitemap
copyright @ Micro-Magic Inc All Rights Reserved.
Network Supported