加速度传感器是一种常见的传感器,可以测量物体的加速度和倾斜角度,广泛应用于工业、医疗、体育等领域。加速度传感器通常由传感元件、信号处理电路和接口电路组成,能够感知物体的加速度或检测其运动状态的变化,并将这些数据转换为电信号输出。
目前市场上主要有两种类型的加速度传感器:模拟传感器和数字传感器。
数字加速度传感器的特点是易于与数字系统集成。然而,有时为了获得更高的精度、更低的噪声,满足不同的动态响应要求,同时控制成本,我们往往更倾向于选择模拟输出的加速度传感器。
图 1 显示了典型模拟输出加速度计信号的处理流程。通常,为了提高集成度并降低成本,ADC 采样和数字滤波处理都集成在 MCU 或 DSP 内部。

在模数转换器 (ADC) 前端添加抗混叠低通滤波器是信号采样系统的关键设计。根据奈奎斯特采样定理,ADC 的采样频率 fs 必须至少是信号最高频率 fmax 的两倍(即 fs ≥ 2fmax),才能准确无误地再现原始信号。如果输入信号包含频率超过 fs/2(称为奈奎斯特频率)的分量,这些高频分量将被“折叠”到低频范围内,形成虚假信号(混叠)。混叠会永久性地污染有用信号,并且无法通过后续处理消除。实际信号可能包含噪声或无用的高频分量(例如电磁干扰、谐波),这些分量的频率可能超过 fs/2。即使输入信号本身带宽有限,ADC 的采样过程(尤其是离散化)也会引入量化噪声。抗混叠低通滤波器可以降低高频噪声的影响。抗混叠低通滤波器实际上是一个RC(电阻-电容)低通滤波器,其截止频率fc通常设置为略低于fs/2但略高于信号的有效带宽(例如,对于带宽为100 Hz的加速度计,fc选择为150 Hz),以确保只有频率低于奈奎斯特频率的信号通过。如果ADC采样时钟频率为2 kHz,则截止频率fc应设置为不高于1 kHz。截止频率fc的计算公式为fc = 1/(2π×R×C)。使用抗混叠低通滤波器可以降低背景噪声,从而提高加速度计的分辨率。通常,在设计中,带宽会限制在应用所需的最低频率范围内,以最大化加速度计的分辨率和动态范围。
实际应用中,如果使用ADI的ADXL103或ADXL203,则其内部已集成低通滤波器。截止频率(-3dB点)由连接到输出端的外部电容C决定,只有将电容并联到输出引脚,并与内部输出电阻构成低通滤波器,才能实现抗混叠和噪声抑制功能。实际应用电路如图2所示,其对应的电容fc = 5 µF/C。

模拟信号经过抗混叠低通滤波器后被送至模数转换器(ADC)模块。在采样时钟的驱动下,生成连续的数据流。此时,数据中不可避免地仍包含噪声。为了滤除噪声,需要采用数字滤波技术对获取的数据进行处理。与模拟滤波器相比,数字滤波器通常具有更稳定的频率响应,能够精确抑制带外信号,具有良好的重复性,并且可以纯软件实现,也可以通过硬件加速实现FIR(有限脉冲响应)或IIR(无限脉冲响应)滤波器。数字滤波既可以纯软件实现,也可以通过硬件加速实现FIR或IIR滤波器。
由于FIR滤波器的阶数较高,它们消耗更多的计算资源,更适合在DSP或高性能MCU上运行。它们的差分方程表达式如下图所示。
对于采用凯撒窗的120阶低通FIR滤波器,其阻带衰减通常超过60dB。与IIR滤波器相比,FIR滤波器具有更宽的过渡带和更大的群延迟,并且其实时响应速度不如IIR滤波器快。
如果嵌入式平台的计算资源有限,或者为了获得更陡峭的过渡带,也可以使用IIR滤波器。与FIR滤波器相比,IIR滤波器具有更高的计算效率(可以用较低的阶数实现高性能),具有非线性相位变化,并且适用于加速度计,但其稳定性可能较差。极点位置需要仔细优化。IIR滤波器的差分方程的一般表达式如下图所示。

4阶椭圆IIR低通数字滤波器通常可以在通带纹波为0.5dB时实现超过60dB的阻带衰减。
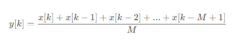
有时,为了获得平滑的输出结果,需要对上述滤波器特定窗口内的输出数据进行递归平均滤波,以降低噪声的影响。给定一个包含 N 个样本的信号序列 x[n],其中 n 为样本索引(从 0 到 N-1)。移动平均滤波通过在信号序列上滑动长度为 M 的固定窗口,并计算窗口内样本的平均值来实现。对于滑动窗口的每个位置 k,可以使用以下公式计算滤波后的输出 y[k]:

滑动窗口的大小 M 决定了平滑程度。较大的窗口可以更有效地平滑信号,但可能会导致响应延迟;较小的窗口可以更快地响应信号变化,但平滑效果可能较差。通常,当 ADC 采样时钟频率为 2000Hz 时,M 设置为 10。