The north finder is a type of compass used to find the true north direction value of a certain location. The gyroscope north finder, also known as the gyroscope compass, is an inertial measurement system that uses the principle of gyroscope to determine the projection direction of the Earth's rotational angular velocity on the local horizontal plane (i.e. true north position). Its search for north does not require external reference.
Fiber Optic Gyroscope (FOG) is a new type of all solid-state gyroscope based on Sagnac effect. It is an inertial measurement element without mechanical rotating parts, with advantages such as shock resistance, high sensitivity, long lifespan, low power consumption, and reliable integration. It is an ideal inertial device in the new generation of strapdown inertial navigation systems.
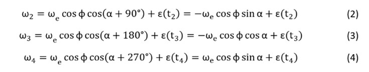
In fiber optic gyroscope based north finding applications, the majority of methods used involve FOG rotation at a fixed angle and calculating the angle relative to the north direction by determining the offset. In order to accurately point north, it is also necessary to eliminate the drift of FOG. Generally, a rotating platform as shown in Figure 1 is used to place the fiber optic gyroscope on a moving base, with the plane of the moving base parallel to the horizontal plane and the sensitive axis of the fiber optic gyroscope parallel to the plane of the moving base. When starting to search north, the gyroscope is in position 1, and its sensitive axis is parallel to the carrier. Assuming that the angle between the initial direction of the sensitive axis of the fiber optic gyroscope and the true north direction is α. The output value of the gyroscope at position 1 is ω1; Then rotate the base 90° and measure the output value of the gyroscope at position 2 as ω2. Rotate 90° twice in sequence, turning to positions 3 and 4 respectively, to obtain angular velocities ω3 and ω4.

Assuming the latitude of the measurement point is φ,The Earth's rotation is
, The angular velocity measured at position 1 is:

Where
is the zero drift of the gyroscope output. Similarly, it can be concluded that:

In a short period of time, assuming that the drift of the fiber optic gyroscope is a constant, that is:
,
Then:


By using this method for measurement, the zero bias of the gyroscope can be eliminated, and there is no need to know the latitude value of the measurement location. If the latitude of the measurement location is a known value, then only measuring positions 1 and 3 (or 2 and 4) can determine the heading angle.
The fiber optic gyroscope north finder has a simple structure and excellent performance, especially able to resist impacts and various harsh environments. When the turntable is horizontal, it can provide the angle between the carrier and true north direction without inputting latitude values. In the case where the turntable is not strictly horizontal, the Earth's angular velocity measured by fiber optic gyroscope and the angle between the gyroscope and the horizontal plane measured by accelerometer are also used to calculate the angle between the baseline of the carrier and the true north direction through computer calculation. At the same time, the accelerometer can also measure the attitude angle of the north finder.

Xml Privacy Policy Blog Sitemap
copyright @ Micro-Magic Inc All Rights Reserved.
Network Supported